PEP

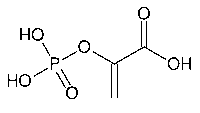
The substrate PEP (phosphoenol pyruvate) is used to fix carbon in C4 plants and CAM plants. In a reaction catalyzed by PEP-carboxylase, it forms oxaloacetate (OAA), a four-carbon acid. OAA is quickly converted to malic acid.

PEP wiki
Index

Organic chemistry concepts

Chemistry concepts

Reference
Karp
Ch 3

Moore, et al.
Ch 7
 
HyperPhysics*****Chemistry R Nave
Go Back







RuBP

Rribulose 1,5-biphosphate

RuBP (ribulose 1,5-biphosphate) is a five-carbon sugar which reacts with CO2 in the first step of the Calvin cycle for fixing carbon in photosynthetic systems. That reaction is catalyzed by the large enzyme rubisco . The catalytic reaction with RuBP and carbon dioxide through a short-lived intermediary almost instantaneously produces two molecules of glycerate 3-phosphate (3PGA).

RuBP wiki
Index

Organic chemistry concepts

Chemistry concepts

Reference
Karp
Ch 3
 
HyperPhysics*****Chemistry R Nave
Go Back